Hà Nội sẽ tiêm vắc xin cho 5,1 triệu dân: Ai được ưu tiên tiêm trước?
UBND TP.Hà Nội chiều 21.7 đã ban hành kế hoạch cụ thể triển khai chiến dịch tiêm chủng vắc xin ngừa Covid-19 cho 5,18 triệu dân trong độ tuổi (18 – 65 tuổi) trên địa bàn.
Hà Nội sẽ tiêm vắc xin cùng loại cho mỗi người tại một thời điểm
13 đối tượng tiêm chủng
Theo kế hoạch, đối tượng tiêm chủng vắc xin phòng Covid-19 theo Quyết định số 2995/QĐ-BYT của Bộ Y tế là “người trong độ tuổi tiêm chủng theo khuyến cáo trong hướng dẫn sử dụng của nhà sản xuất và không quá mẫn với hoạt chất hoặc với bất kỳ tá dược nào liệt kê trong các thành phần vắc xin”.
Việt Nam đang sử dụng các loại vắc xin phòng Covid-19 của các hãng Astra Zeneca, Pfizer, Moderna và Sinopharm.
Theo hướng dẫn của Bộ Y tế, các vắc xin này đều được chỉ định tiêm cho người từ 18 tuổi trở lên.
Riêng vắc xin Astra Zeneca, theo hướng dẫn của nhà sản xuất được tiêm cho người từ 18 – 65 tuổi (người trên 65 tuổi, người có bệnh lý nền, bệnh mạn tính cần thận trọng trong tiêm chủng).
Thứ tự ưu tiên theo chỉ đạo của Thủ tướng Chính phủ tại Nghị quyết 21/CĐ-CP, đồng thời sẽ mở rộng sang các đối tượng khác, đảm bảo tính chính xác, minh bạch trong việc tiếp cận vắc xin, cụ thể:
Thứ 1: lực lượng tuyến đầu chống dịch, gồm: người làm việc trong các cơ sở y tế công lập và tư nhân, người tham gia phòng chống dịch, lực lượng quân đội, công an.
Thứ 2: nhân viên, cán bộ ngoại giao của Việt Nam và thân nhân được cử đi nước ngoài, hải quan và cán bộ xuất nhập cảnh.
Thứ 3: cán bộ, người lao động các cơ quan, đơn vị đã tích cực tham gia vào các hoạt động phòng chống dịch, các đơn vị hỗ trợ cho phòng chống dịch.
Thứ 4: người cung cấp dịch vụ thiết yếu như hàng không, vận tải, dịch vụ điện nước, ngân hàng, kho bạc, chứng khoán, bưu chính viễn thông, xuất nhập khẩu hàng hoá, cơ sở kinh doanh dịch vụ lưu trú, ăn uống, cơ sở chăm sóc sức khoẻ, dược vật tư y tế, người dân ở vùng du lịch…
Thứ 5: giáo viên, người làm việc tại các cơ sở giáo dục đào tạo, làm việc tại cơ quan hành chính tiếp xúc nhiều người.
Thứ 6: người được cơ quan nhà nước có thẩm quyền cử đi công tác, học tập, lao động ở nước ngoài.
Thứ 7: công nhân tại các khu công nghiệp, khu chế xuất, cụm công nghiệp.
Thứ 8: người mắc các bệnh mạn tính, người trên 65 tuổi, người nghèo, các đối tượng chính sách xã hội.
Thứ 9: người sinh sống ở các khu vực có dịch.
Thứ 10: các chức sắc tôn giáo
Thứ 11: lao động phổ thông thường xuyên tiếp xúc nhiều người như lao động tự do, lái xe tắc xi, xe ôm, bốc vác, đánh giày, bán hàng rong…
Thứ 12: người làm việc trong các trại giam, phạm nhân.
Thứ 13: người dân không nằm trong các nhóm trên, nhưng có thể ưu tiên theo yêu cầu chống dịch tại từng thời điểm cụ thể.
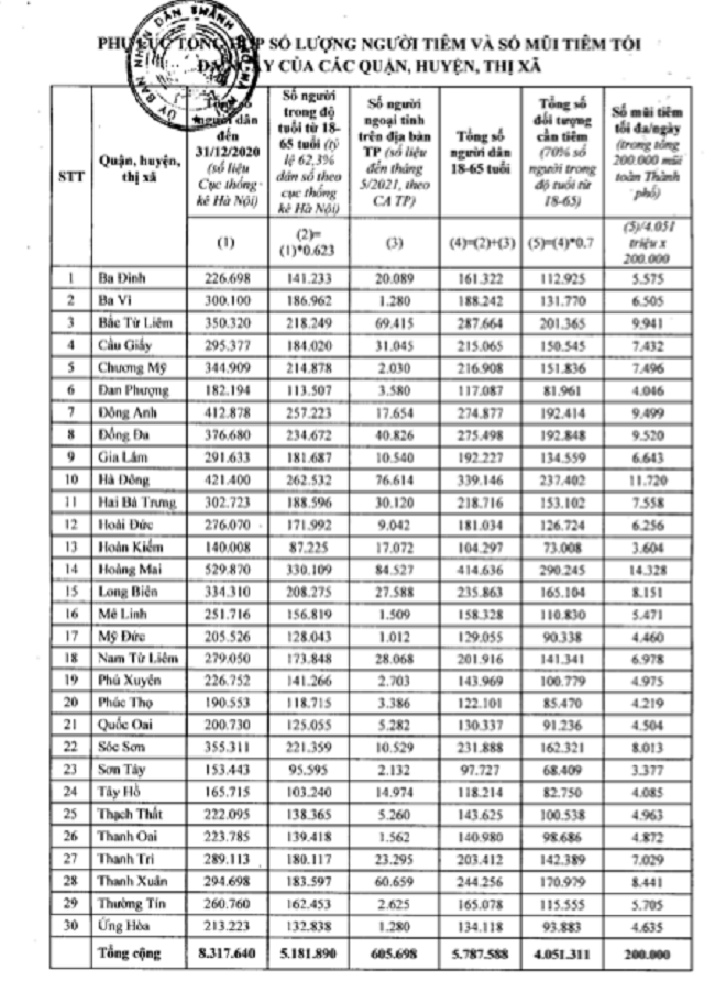
Số lượng tiêm cụ thể của từng quận, huyện, thị xã
Thời gian tiêm phụ thuộc lượng vắc xin cung ứng
UBND TP.Hà Nội cho biết, thời gian tiêm vắc xin trong năm 2021, tuy nhiên sẽ theo nguồn cung ứng (trong nước và nhập khẩu) được phân bổ.
Tiến độ tiêm phụ thuộc vào lượng vắc xin được cung ứng, khi nguồn vắc xin chưa đủ sẽ phân bổ theo thứ tự ưu tiên (các nơi có ca F0 mới, có nhiều khu công nghiệp, mật độ dân cư cao, nhiều trường học, giáp ranh vùng dịch…); khi có đủ vắc xin sẽ triển khai đồng loạt trên toàn thành phố.
Hà Nội dư kiến tiêm 200.000 liều/ngày, để đảm bảo mục tiêu này, thành phố sẽ phải xây dựng 1.200 dây chuyền tiêm, đào tạo nhân lực và chuẩn bị các kho lạnh có tiêu chuẩn phù hợp với từng loại vắc xin.
Mỗi người tiêm 1 hay nhiều loại vắc xin?
Theo kế hoạch, người tiêm mũi 1 bằng loại vắc xin nào thì tiêm trả mũi 2 bằng loại vắc xin đó.
Với người được tiêm mũi 1 bằng Astra Zeneca, có thể tiêm mũi 2 bằng vắc xin của Pzifer, khoảng cách 8 – 12 tuần sau mũi 1.
Vắc xin có hạn sử dụng ngắn cấp phát trước.
Để tránh thắc mắc, khiếu nại, đảm bảo công bằng, Hà Nội cho biết sẽ phân bổ 1 loại vắc xin tại cùng thời điểm, sau khi các đơn vị tiêm hết mới chuyển sang loại khác, nhưng phải dự trù đảm bảo 2 mũi cho cùng 1 người.
Tại mỗi thời điểm chỉ tiêm 1 loại vắc xin ở cùng một thời điểm để tránh người dân thắc mắc.
Ngoài các điểm tiêm chủng cố định, sẽ có các điểm tiêm lưu động tại các khu công nghiệp, khu đô thị có mật độ dân cư lớn, trường học, cơ quan, nhà văn hoá… đảm bảo giãn cách theo quy định phòng chống dịch.
Theo Thanh Niên

